




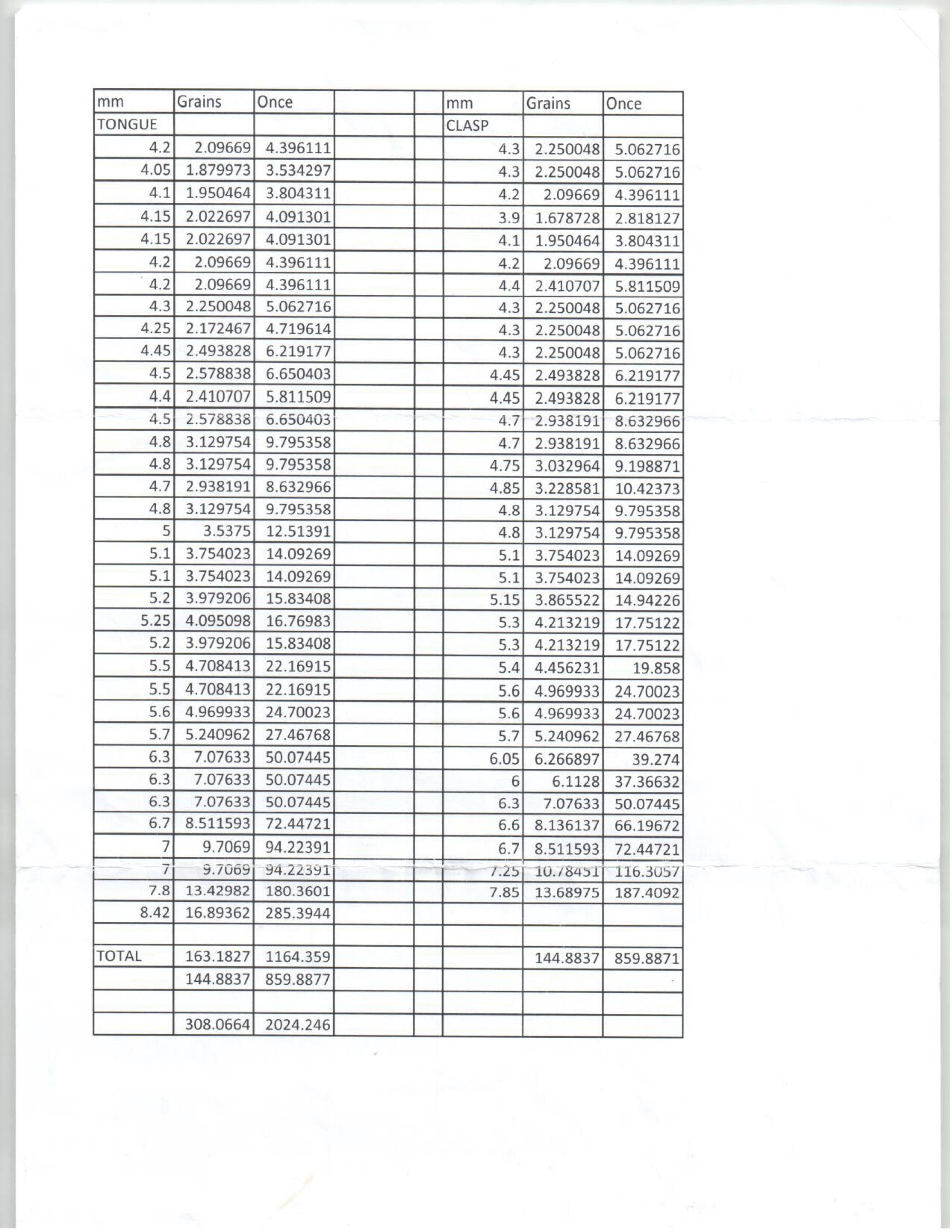
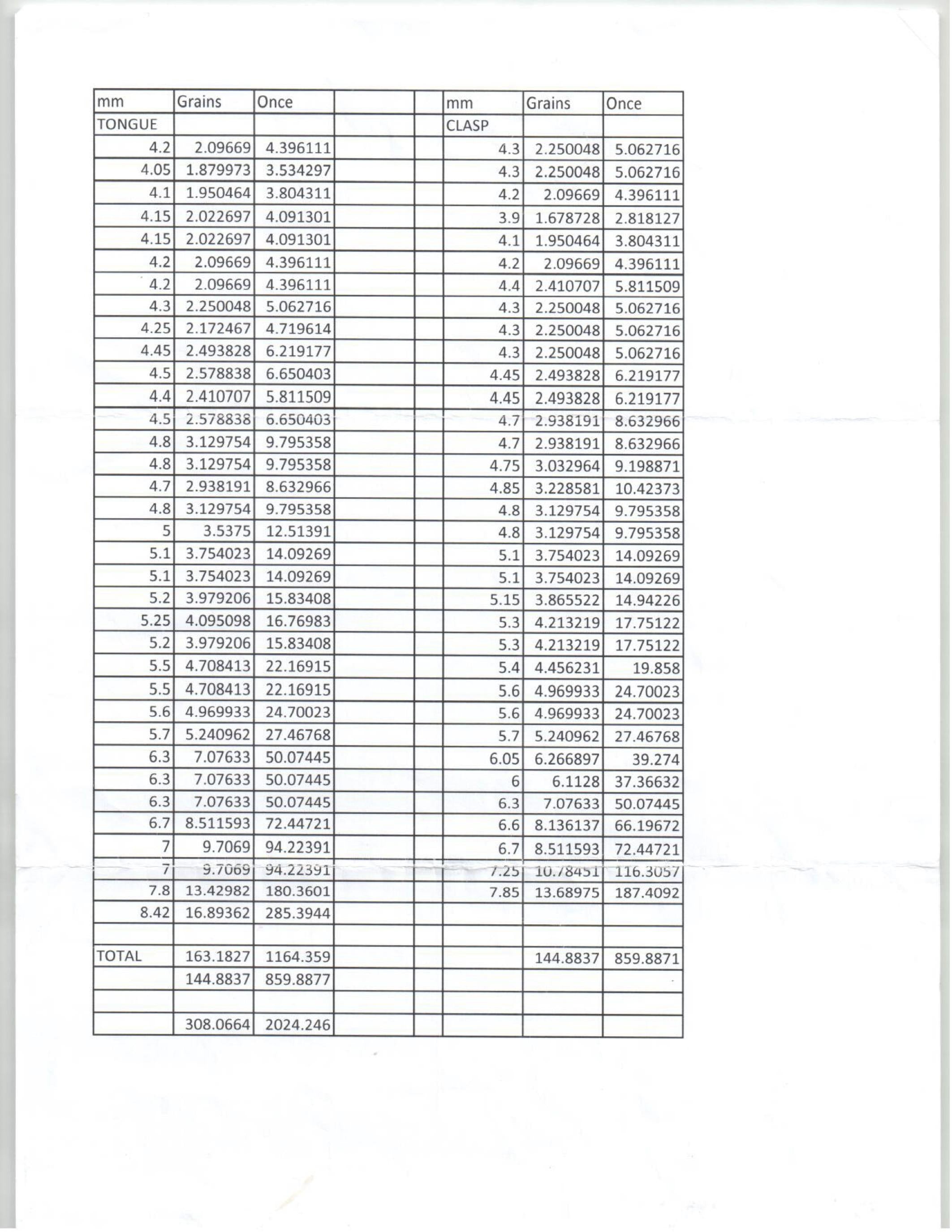
Platinum French natural pearl Necklace
This elegant necklace features a refined design, adorned with natural pearls totaling 99.8 carats. The white pearls are meticulously crafted in a bead cut, exuding a subtle luster.
Accentuated with white diamonds weighing 0.65 carats, the old mine cut stones add a touch of brilliance to the piece. The diamonds are set in platinum, enhancing the necklace's sophisticated allure.
A distinguished piece for those who appreciate timeless elegance and masterful craftsmanship.
Handcrafted in 1925. Sizable.
Total weight: 18.96 grams. Reference No. NE65060.
Choose options





Platinum French natural pearl Necklace
Sale price$71,500.00 USD